Se você é alérgico a gatos, não está sozinho. Estima-se que entre 10 e 30% da população mundial em geral seja alérgica a gatos. A Organização Mundial de Saúde reconhece oito alérgenos de gatos diferentes, designados Fel d 1-8. Nessa designação, Fel d representa o nome latino do gato doméstico, Elis domesticus.
Dos oito alérgenos, o alérgeno primário é Fel d 1, responsável por 60–90% da atividade alergênica. Fel d 1 é uma proteína produzida pelas glândulas produtoras de óleo na pele do gato. Em princípio, essa protéina se encontra na sua pele, pelos e saliva, embora sua função biológica exata ainda seja desconhecida.
Pelos de gato, os pequenos pedaços microscópicos de pele morta que os gatos eliminam, permitem que o Fel d 1 se espalhe pela sua casa onde quer que o seu gato vá. E se espalha muito bem. Em uma pesquisa em lares americanos descobriu-se que mais de 99% deles continham vestígios de Fel d 1.
Os problemas de alergia começam quando você inala Fel d 1. Em pessoas alérgicas, isso desencadeia uma resposta imunológica do corpo. Ele produz anticorpos contra a proteína. Além disso, esses anticorpos desencadeiam a liberação de histamina dos mastócitos. Por conseguinte, observa-se um desencadeiamento de sintomas de alergia de espirros, cheirar e assim por diante.
Existem maneiras de controlar isso se você for alérgico. Utilizam-se sobretudo os anti-histamínicos para todos os tipos de alergias e, como o nome sugere, combatem a ação da histamina.
Os gatos machos produzem níveis mais elevados de Fel d 1 do que as fêmeas. Gatos machos castrados produzem níveis comparáveis aos das fêmeas. As más notícias? Os níveis mais baixos ainda são suficientes para desencadear os sintomas alérgicos, portanto, sem dúvida, não faz muita diferença. Embora, seja frequentemente sugerido que algumas raças podem produzir menos Fel d 1, atualmente há pouca evidência para isso.
Embora, Fel d 1 possa subir pelo seu nariz, você não sentirá o cheiro. Por outro lado, o mesmo não pode ser dito para a urina de gato. Qualquer preocupação que eu tivesse de não perceber se o gato estava fazendo xixi pela casa foi imediatamente dissipada na primeira vez que ele fez isso. Para não proprietários de gatos: cheira mal. Muito mal.
Também existe uma explicação química para isso. Então! A urina de gato fresca não cheira muito. Mas não permanece fresco por muito tempo. A decomposição bacteriana de componentes químicos principalmente na urina gera compostos odoríferos.
Leia também
Sua alergia a certas joias é por causa do níquel
O que o aquecimento global pode causar
Será que aquele ingrediente secreto do seu perfume é cancerígenos?
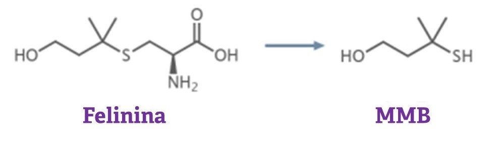
A chave para isso é um aminoácido específico encontrado na urina do gato, apropriadamente denominado felinina. Dessa forma, as enzimas decompõem a felinina, produzindo amônia, dióxido de carbono e um composto chamado 3-metil-3-sulfanilbutan-1-ol (MMB). A amônia é conhecida sobretudo por ter um odor pungente, mas o MMB contendo enxofre é um grande contribuinte para o cheiro característico de urina de gato.
Outro composto produzido à medida que a urina do gato envelhece é a 4-metil-4-sulfanilpentan-2-ona, mais comumente referida como ‘cetona do gato’. A cetona de gato não é encontrada apenas na urina de gato – ela também ocorre naturalmente nas uvas Sauvignon e é um componente chave no cheiro de groselha preta.
A cama do gato, em princípio, absorve a urina do seu gato e um pouco de seu cheiro. As ninhadas vêm em vários tipos diferentes. Assim sendo, a cama de argila, a base de argilas como a bentonita de cálcio, são populares. Também existem ninhadas biodegradáveis e à base de sílica gel. É mais problemático quando o seu gato não usa a bandeja sanitária e decide fazer xixi em outro lugar da casa. Nesses casos, limpadores à base de enzimas são as melhores apostas para remover o odor e evitar que seu gato faça xixi no mesmo local mais tarde.

