Vitamina E Pode Transformar Sua Saúde Agora Mesmo pois ela vai mudar a sua vida. Então, a vitamina E representa muito mais do que um simples suplemento nutricional – é um verdadeiro aliado da saúde moderna, capaz de revolucionar completamente sua qualidade de vida. Imagine um supercomponente que protege suas células contra o envelhecimento precoce, previne doenças graves e potencializa seu bem-estar geral.
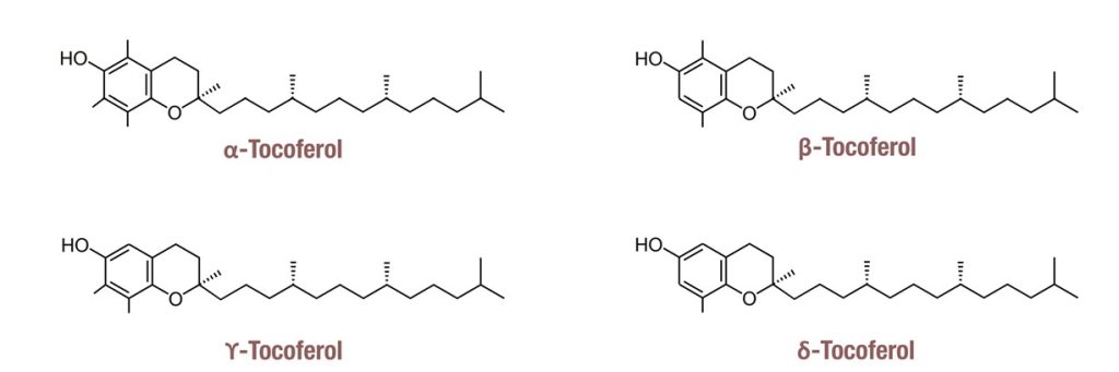
Cientificamente composta por tocoferóis e tocotrienóis, a vitamina E apresenta quatro formas distintas (α, β, γ, δ) que atuam de maneira estratégica no organismo humano. Mas, o destaque fica para o α-tocoferol, considerado a forma mais ativa e essencial para manter a integridade das membranas celulares.
Especialistas alertam que a maioria das pessoas subestima o poder desse composto antioxidante. Assim, cada dia sem uma ingestão adequada representa uma oportunidade perdida de proteção contra radicais livres, principais responsáveis pelo envelhecimento celular acelerado. A deficiência pode manifestar-se através de sintomas como fadiga, irritabilidade e problemas cutâneos.
Os benefícios são comprovados cientificamente. Pesquisas publicadas em renomadas revistas científicas demonstram que a vitamina E não apenas combate o estresse oxidativo, mas também fortalece o sistema imunológico e previne doenças cardiovasculares. Sua capacidade de potencializar outros antioxidantes, como a vitamina C, a torna um componente nutricional verdadeiramente estratégico.
As fontes alimentares são diversas e acessíveis, incluindo óleos vegetais, germe de trigo, sementes, folhas verdes e gema de ovo. No entanto, com a crescente industrialização e o consumo de alimentos processados, os níveis naturais de vitamina E têm diminuído significativamente.
Depoimentos de pessoas que já incorporaram a vitamina E em sua rotina são impressionantes. Carla Oliveira, uma empresária de 42 anos, relata aumento de energia e melhora na qualidade da pele após iniciar a suplementação. Essa experiência reflete o potencial transformador desse nutriente.

Fontes de Vitamina E
O Dr. José Antônio Mendes, nutricionista clínico, enfatiza: “Na dúvida entre prevenir e remediar, escolha sempre prevenir”. Essa filosofia resume perfeitamente o papel da vitamina E na manutenção da saúde preventiva.
Para aqueles que buscam resultados práticos, a recomendação é clara: avalie sua dieta atual, considere a suplementação com produtos de qualidade e, preferencialmente, consulte um profissional de nutrição. A vitamina E não deve ser vista como um complemento opcional, mas como um investimento essencial em sua saúde.
Os riscos de negligenciar esse nutriente são significativos. Deficiências leves podem parecer inofensivas inicialmente, mas podem evoluir para comprometimentos mais sérios no sistema imunológico e nervoso. A prevenção, portanto, é sempre a melhor estratégia.
Um dado alarmante: segundo a Organização Mundial da Saúde, uma parcela considerável da população mundial não atinge os níveis recomendados de vitamina E. Esse cenário ressalta a importância de uma abordagem proativa em relação à nutrição.
A verdadeira revolução começa com o conhecimento. Compreender o papel da vitamina E, suas fontes e benefícios é o primeiro passo para uma transformação completa. Não se trata apenas de consumir um suplemento, mas de adotar uma filosofia de cuidado e prevenção.
Sua saúde merece a melhor proteção possível. A vitamina E oferece exatamente isso – um escudo natural contra os desafios do envelhecimento e das agressões ambientais. Não postergue esse cuidado. Cada dia é uma oportunidade de investir em um futuro mais saudável e vibrante.
O Que Torna a Vitamina E Tão Especial?
A vitamina E é um grupo de compostos lipossolúveis composto por tocoferóis e tocotrienóis. Cada um deles apresenta formas distintas – α, β, γ e δ – que diferem por variações na estrutura molecular. Essas diferenças influenciam diretamente sua capacidade de proteger as células contra os radicais livres, os grandes vilões do envelhecimento e das doenças degenerativas.
E aqui vai um dado crucial: o α-tocoferol é a forma mais ativa no corpo humano. Estudos apontam que ele é essencial para a manutenção da integridade das membranas celulares, prevenindo danos que poderiam desencadear uma cascata de problemas de saúde.
Estrutura Química Revolucionária
Tocoferóis e Tocotrienóis: Sua Equipe de Defesa

Cada variante com uma função específica de proteção celular!
Você Está Consumindo a Quantidade Ideal?
De acordo com especialistas, muitas pessoas subestimam a importância da vitamina E em sua dieta. Esse descuido pode custar caro: deficiências leves podem se manifestar como fadiga, irritabilidade e até problemas de pele. Já deficiências severas estão associadas a riscos graves para o sistema imunológico e nervoso.
Você sabia que alimentos ricos em vitamina E, como óleos vegetais, sementes e folhas verdes, nem sempre são consumidos na quantidade adequada? Segundo a Organização Mundial da Saúde, uma proporção significativa da população mundial não atinge os níveis recomendados.
Não deixe para depois! Cada refeição é uma oportunidade de investir em sua saúde. E, se precisar de um reforço, considere suplementos de qualidade – mas escolha com cuidado, porque nem todos são iguais.
Quem Está Usando Não Quer Ficar Sem
De atletas de alta performance a pessoas comuns que buscam melhorar sua qualidade de vida, a vitamina E tem conquistado um lugar especial na rotina de quem leva a saúde a sério.
Veja o depoimento de Carla Oliveira, 42 anos, empresária: “Comecei a incluir vitamina E no meu dia a dia após sentir cansaço constante. Hoje, me sinto mais energizada e vejo até uma melhora na minha pele. É um investimento que vale a pena!”
Se Carla e tantas outras pessoas descobriram os benefícios da vitamina E, o que está impedindo você de fazer o mesmo?
O Que Dizem os Especialistas?
Pesquisadores do mundo todo destacam a importância da vitamina E. Estudos publicados em renomadas revistas científicas, como a Journal of Nutritional Biochemistry, comprovam seu papel vital na prevenção de doenças crônicas. Além disso, a vitamina E potencializa a ação de outros antioxidantes, como a vitamina C, formando uma barreira robusta contra o estresse oxidativo.
O Dr. José Antônio Mendes, nutricionista clínico, alerta: “É fundamental garantir uma ingestão adequada de vitamina E para proteger o organismo dos efeitos deletérios dos radicais livres. Na dúva entre prevenir e remediar, escolha sempre prevenir.”
Com um aval desses, é claro que a vitamina E deve ser uma prioridade na sua dieta.
Estoques Naturais Estão Diminuindo
Com a industrialização e a alta demanda por alimentos processados, muitos nutrientes essenciais estão desaparecendo das prateleiras naturais. Alimentos como germe de trigo e folhas verdes estão cada vez menos presentes no cardápio moderno.
E tem mais: os óleos vegetais que compramos frequentemente passam por processos de refino que reduzem significativamente a concentração de vitamina E. Isso significa que até mesmo quem acredita estar consumindo alimentos ricos nesse nutriente pode estar recebendo muito menos do que o necessário.
A solução? Escolher fontes confiáveis e, se necessário, complementar com suplementos de alta qualidade. Mas corra: suplementos verdadeiramente eficazes são disputados, e os estoques não duram para sempre.
Você Está a um Passo de Revolucionar Sua Saúde
A vitamina E é mais do que um simples suplemento; é uma ferramenta poderosa para proteger seu corpo e promover bem-estar. Cada dia que você adia essa decisão, deixa de lado a chance de investir em um futuro mais saudável.
Aproveite agora mesmo para incluir a vitamina E em sua rotina e experimente a diferença. Afinal, sua saúde é seu maior patrimônio. Não espere mais para cuidar dela.
Consideração Final
Então, o assunto “Vitamina E Pode Transformar Sua Saúde Agora Mesmo” foi interessante? Dessa forma, você tem que acessar posts sobre a Química e Saúde aqui no Clube da Química. De qualquer forma convidamos você a descobrir um pouco mais nos posts abaixo. Acesse ai.
- Uma jornada pela sinfonia neuroquímica da dopamina
- Explorando os fundamentos da creatina: Uma jornada de descobertas em 1832
- A importância dos lipídios: além de nutrientes, agentes essenciais para a vida
- Descubra o lítio na sáude mental e nos automóveis
- Descubra se os carboidratos são vilão ou causam diabetes
- Os obesogênicos e a invisível ameaça ao peso paudável
Mas, caso ainda tenha dúvida, não pense duas vezes junte-se a comunidade do Clube da Química para receber nossas novidades além de tirar suas dúvidas. Assim, conecte-se nas nossas redes sociais:
Facebook e




